Síðast tekið fyrir á fundi fyrir 6 árum síðan.
Skipulags- og samgönguráð nr. 30
Annað
Fyrirspurn
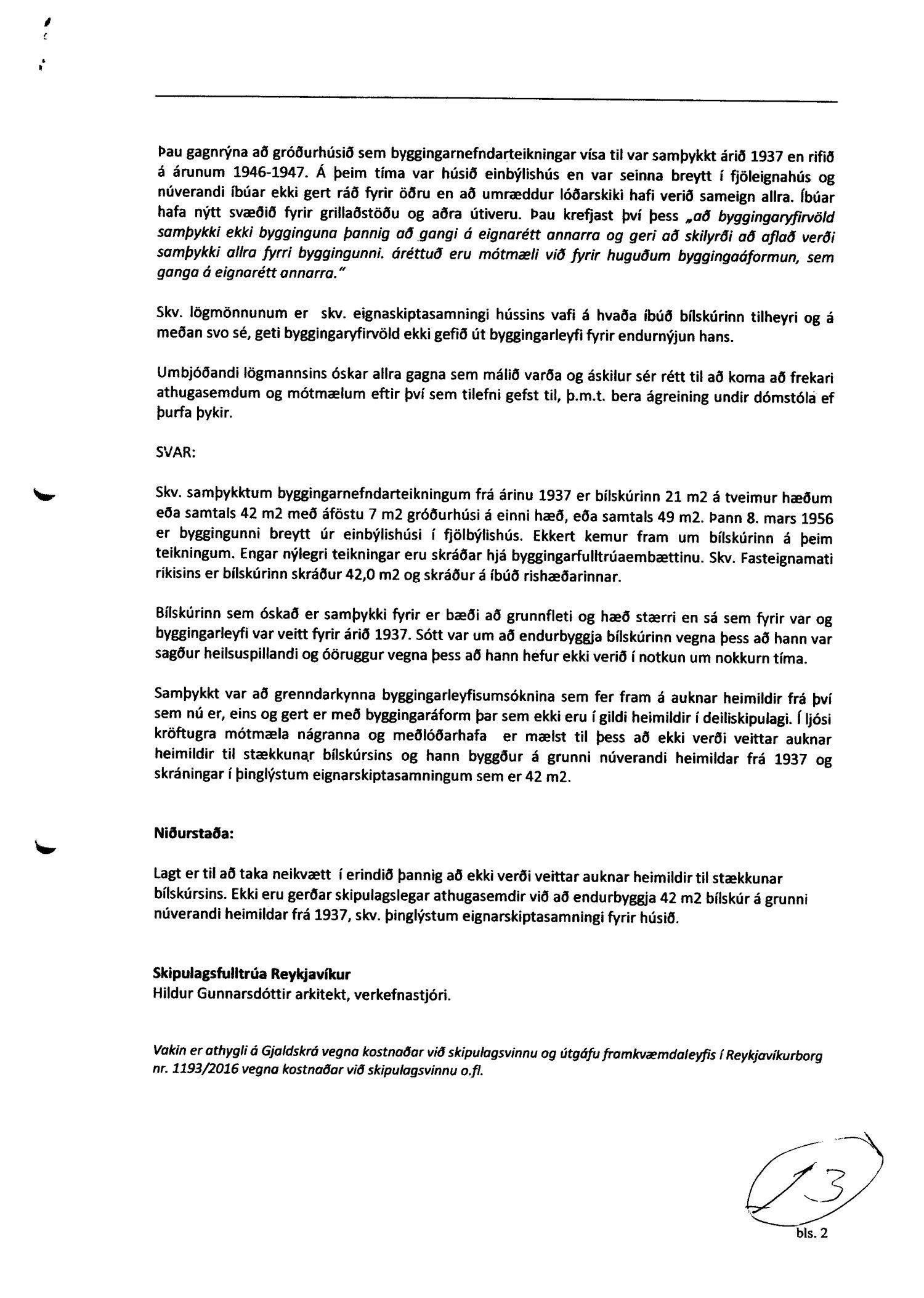
Lagt fram bréf umhverfis- og auðlindamála dags. 20. desember 2017 ásamt kæru dags. 20. desember 2017 þar sem kærð er synjun á umsókn um endurbyggingu á bílskúrsbyggingu við Sóleyjargötu 13. Einnig er lögð fram umsögn skrifstofu sviðsstjóra dags. 4. janúar 2018. Jafnframt er lagður fram úrskurður úrskurðarnefndar umhverfis- og auðlindamála frá 28. febrúar 2019. Úrskurðarorð: Hafnað er kröfu kæranda um ógildingu ákvörðunar byggingarfulltrúans í Reykjavík frá 21. nóvember 2017 um að synja umsókn um byggingarleyfi fyrir endurgerð bílskúrs að Sóleyjargötu 13.
101 Reykjavík
Landnúmer: 102138 → skrá.is
Hnitnúmer: 10019336
Kaupskrá 1 færslur
10.500.000 kr. 01.06.2007
Fjölbýli · 55 m² · 2 herb. · bygg. 1945