Síðast tekið fyrir á fundi fyrir 6 árum síðan.
Aðilar sem vísað er í
Skipulags- og samgönguráð nr. 21
Annað
Fyrirspurn
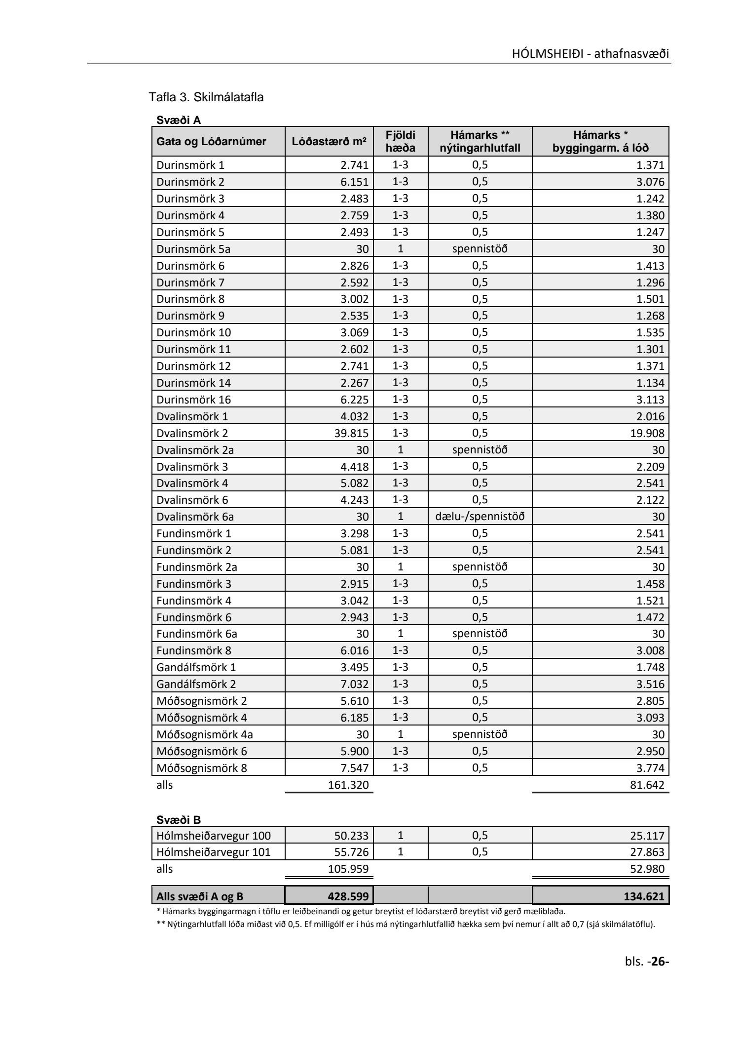
Lögð fram tillaga umhverfis- og skipulagssviðs um nýtt deiliskipulag fyrir Hólmsheiði, athafnasvæði. Skipulagssvæðið er um 60 ha að stærð og liggur að jaðri vatnsverndarsvæðis Höfuðborgarsvæðisins og er í jaðri græna trefilsins. Skipulagstillagan gerir ráð fyrir að skipuleggja athafnasvæði, með fjölbreyttum atvinnulóðum innan svæðis, undir ýmis konar starfsemi sem fellur að markmiðum aðalskipulags Reykjavíkur 2010-2030, þ.á.m. lóðum fyrir gagnaver, skv. uppdr. Arkís arkitekta dags. 18. október 2018. Einnig er lögð fram greinargerð, skipulagsskilmálar og umhverfisskýrsla Arkís arkitekta ehf. dags. 18. október 2018. Jafnframt er lögð fram fornleifaskráning Borgarsögusafns Reykjavíkur, greinargerð Íslenskra orkurannsókna dags. 1. september 2018 og umsögn Minjastofnunar Íslands dags. 21. september 2018. Samþykkt að auglýsa framlagða tillögu, skv. 1. mgr. 41. gr. sbr. 1. mgr. 43.gr. skipulagslaga nr. 123/2010. Vísað til Borgarráðs.
Svar

Fulltrúar Skipulags- og samgönguráðs bóka: Skipulags- og samgöngráð leggur til að framkvæmd deiliskipulagsins og uppbygging á svæðinu verði unnin í góðu samstarfi við Veitur og HER til að tryggja innleiðingu og örugga útfærslu þeirra ofanvatnslausna sem eru settar fram í greinargerði skipulagsins.

Gestir
Edda Kristín Einarsdóttir frá Arkís tekur sæti á fundinum undir þessum lið.